Физици откриха формулата на перфектната пица

Двама физици и един изследовател в сферата на антропологията на храненето влизат в италианска пицария…

Не, това не е лош виц, а началото на истинско проучване, чиято цел е да опише приготвянето на съвършената пица. Как? С помощта на принципите от термодинамиката, които са приложими към процеса на готвене.

Подходът е сравнително стандартен. "Provando e riprovando", което в превод значи "да се опитваш отново и отново", обяснява авторът на изследването Андрей Варламов.

Процесът на проучването е включвал "разговори с италианци, посещение на различните им пицарии, интервюта с пицари, склонни да разкрият своя опит, предаван от поколение на поколение", допълва Варламов. Точно така - учените са ходели от ресторант на ресторант и са поръчвали пици "Маргарита" с домати, моцарела и босилек.

Според един от пицарите човек, който иска да си хапне най-вкусната пица, „трябва винаги да посещава пицариите, когато са полупразни - пред 20:00 ч или след 22:00 ч.“ Защо? Заради капацитета на фурната. В една фурна, горяща с дърва и разполагаща с огнеупорни тухли, пицата обикновено се пече между на температури от 325 до 330°C за около 120 секунди. В пиковите часове пицарите вдигат градусите до 390°C, за да смогнат с поръчките. Пиците „излитат“ от фурната на всеки 50 секунди и съответно – са с много по-ниско качество.

Авторите на изследването твърдят, че електрическите фурни вършат по-добра работа при изпичането на пиците заради начина, по който топлината се пренася. Ето защо те създадават едно уравнение за съвършената пица, което може да пробвате и вкъщи.

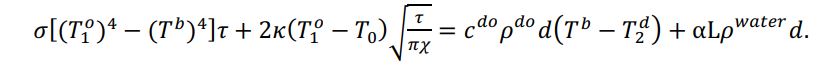
Огънят в традиционните фурни с огнеупорни тухли гори в единия ъгъл. Поради тази причина топлината се пренася неравномерно през извитата и отворена пещ. В една нормална електрическа печка обаче пицата често се поставя директно върху металната решетка. Металът е по-добър проводник на топлина (и много по-мощен от тухлата). Съответно долната част на тестото абсорбира топлината по-бързо от останалата част. Но на колко градуса е хубаво да я печем? Ако използваме гореспоменатата техника на италианските пицари, ще превърнем нашата пица направо във въглен. Тук на помощ идва уравнение номер 13:

За да отчетат тази промяна в проводимостта, авторите твърдят, че е хубаво да намалим градусите на печката до 230°C и да я печем за не повече от 170 секунди. При допълнителен топинг с по-високо съдържание обаче вероятно ще се наложи да задържите за малко по-дълго време във фурната (заради процеса на изпаряване). Колко точно обаче? За тази цел ще трябва да прочетете цялото изследване, публикувано в arXiv.

Източник: Obekti

Facebook коментари

Коментари в сайта (2)

  • 1
    Ее
    Ее
    0 -2
    07:39, 12 юни 2021
    Поредна глупост създадена от измислени физици хрантутеници на държавите
  • 2
    Ел
    Електротехник
    3 -1
    22:09, 12 юни 2021
    Общо взето всички се занимават с всичко друго, но не и с професията си!!!
    Математици ни обясняват как да се лекуваме от вируси?!?
    Физици как да си печем пицата!?!

    - Добър ден, може ли да ми изпратите един добър електротехник?
    - Госпожо, всички живи електротехници са добри.
Последни новини