Защо природата обича спиралите? Каква е връзката им с ентропията

В историята на човешкото познание има моменти, в които едно просто хрумване променя разбирането ни за реалността. Момент, в който хаосът се разкрива структура, безпорядъкът придобива смисъл и това, което е изглеждало като случайна вселена, се разкрива като система, управлявана от скрити симетрии, коментират авторите на статия във phys.org теоретичните физици Ахмед Фараг Али (Ahmed Farag Ali) от университета в Летбридж, Канада, и Анета Войнар (Aneta Wojnar) от Университета Комплутенсе в Мадрид .

Границата на Бекенщайн е едно такова откровение - идея, която ни прошепва, че ентропията, информацията и гравитацията не са отделни, а по-скоро дълбоко преплетени аспекти на космоса. В едно от най-дълбоките прозрения на съвременната физика Якоб Бекенщайн предполага, че ентропията на всяка физическа система не е безгранична; тя е ограничена от нейната енергия и най-малката сфера, която може да я обхване.

Това откритие е радикално: ентропията, която дълго време се смяташе за абстрактна мярка за безпорядък, всъщност е величина, дълбоко свързана с тъканта на пространство и време. Неговата обвързаност, изразена в най-простата ѝ форма, предполага, че общата информация, която може да бъде съхранена в дадена област от пространството, е пропорционална на нейната енергия и размер.

Границата на Бекенщайн

Границата на Бекенщайн е горната граница на ентропията S или количеството информация I, която може да се съдържа в дадена ограничена област от пространството, която има крайно количество енергия; или, от друга страна, максималното количество информация, необходимо за идеално описание на дадена физическа система до квантово ниво. Това означава, че информацията за физическа система или информацията, необходима за идеалното описание на системата, трябва да бъде ограничена, ако системата заема ограничено пространство и има ограничена енергия.

Според границата на Бекенщайн ентропията на черна дупка е пропорционална на броя на областите на Планк, които са необходими, за да покрие хоризонта на събитията на черната дупка. Кредит: Wikimedia Commons

От гледна точка на компютърните науки, това означава, че има максимална скорост на обработка на информация за физическа система, която има краен размер и енергия, и че машина на Тюринг с краен физически размер и неограничена памет е физически нереализуема. Бекенщайн показва, че максималната ентропия, свързана с едно тяло, се постига, когато то се превърне в черна дупка. С други думи, когато границата на Бекенщайн бъде достигната, информационният носител претърпява гравитационен колапс, превръщайки се в черна дупка.

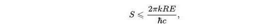
Универсалната формулировка на ограничението първоначално е открита като неравенството:

където S е ентропията, k е константата на Болцман, R е радиусът на сферата, обхващаща дадената система, E е общата маса-енергия, включително масата на покой, ħ е Константа на Планк и c е скорост на светлината. Въпреки значителната роля на гравитацията, изразът не съдържа гравитационна константа G.

През следващите години са направени опити за обобщаване на тази връзка и за формулирането ѝ на по-универсален език. В една елегантна формулировка Рафаел Бусо (Raphael Bousso) твърди, че границата на ентропията трябва да бъде пряко свързана с площта на ограждащата сфера, а не с енергията. Той стига до това, позовавайки се на условието за гравитационна стабилност, което гарантира, че радиусът на Шварцшилд на една система не надвишава радиуса на ограждащата сфера.

Тази стъпка е математически последователна и засилва дълбоката връзка между ентропията и геометрията на пространство-времето. Неговата обвързаност елегантно се свързва с холографския принцип, който предполага, че информационното съдържание на един обем е кодирано на заобикалящата го повърхност.

И все пак, макар че подходът на Бусо е в съответствие с неравенството на Бекенщайн, той не е най-точното му представяне. Заменяйки енергията с площта на обграждащата сфера, той премахва ключова динамична характеристика на връзката на ентропията с пространство-времето. Една по-точна формулировка трябва да запази енергията като основна величина, отразявайки нейната роля в определянето на границата.

Фараг Али и Войнар усъвършенстват границата на Бекенщайн и тяхната работа е3 публикувано сега в Classical and Quantum Gravity. Те използват различен подход - такъв, който запазва общата енергия, но я преформулира в термините на релативистката маса. От връзката на Айнщайн E = Mc² те изразяват границата в зависимост от масата. След това, показвайки, че масата в гравитационната физика е естествено свързана с радиуса на Шварцшилд rₛ, заменят масата със съответния гравитационен радиус.

Тази проста, но дълбока стъпка променя самата геометрия на границата. Вместо да разглеждат ентропията по отношение на ограждащата сфера, стигат до тороидално представяне, където вътрешният радиус е радиусът на Шварцшилд, а външният радиус остава най-малката ограждаща сфера.

Тази промяна не е произволна; тя е дълбоко мотивирана от фундаменталните структури, наблюдавани във Вселената. В природата Вселената рядко се изразява в идеални сфери, а предпочита спирали, вихри и тороидални потоци.

Тор, представящ границата на Бекенщайн във физическата система и в съответствие с моделите на линейния генерализиран принцип на неопределеност с минимална дължина с ???? ???? като вътрешен радиус и ???? като външен радиус. Кредит: Ahmed Farag Ali et al,


Галактиките не се формират като съвършени сфери, а се навиват във величествени спирали. ДНК не се разтяга в права верига, а се усуква в двойна спирала. Водата, въздухът и дори плазмата в най-екстремните космически условия следват пътища на въртене и криволинейност. Защо тогава ентропията - може би най-фундаменталният организационен принцип на Вселената - трябва да бъде по-различна?

Тороидалната формулировка на ентропията разкрива нещо необикновено, когато се прилага към квантовата механика. В стандартната квантова теория принципът на неопределеност на Хайзенберг е (Δx⋅Δp≥h/(4π)=ℏ/2), формулиран като неравенство, неизбежно ограничение на това, което може да се знае. Но когато ентропията се разбира адекватно чрез тороидалната структура, неравенството се превръща в точна зависимост:

Δx Δp = (Atorus) / (4π ℓpl2) ħ

Това просто, но дълбоко уравнение ни казва, че това, което дълго време сме смятали за неопределеност, всъщност е структура. Привидната случайност на квантовата механика не е дефект на природата, а признак на скрит ред. Превръщането на принципа на неопределеността от неравенство в равенство подсказва, че пространството и времето не са непрекъснати по начина, по който сме си представяли, а са оформени от тороидални ограничения.

Това има далечни последици не само за физиката, но и за разбирането ни за самата Вселена. Тороидалното движение на ураганите, кривината на океанските вълни, моделите на електромагнитните полета и дори структурата на субатомните взаимодействия - всички те отразяват този фундаментален принцип. В спиралата има нещо универсално, нещо, заложено в начина, по който се развиват енергията, материята и пространството. Торът не е просто форма; той е въплъщение на движението, на еволюцията, на самото време.

От космологична гледна точка това прозрение предлага убедително решение на проблема с космологичната константа.

Огромното разминаване между предсказаната от квантовата теория на полето енергия на вакуума и наблюдаваната стойност отдавна е загадка. Но когато включим тороидалната ентропия в изчисленията на квантовия вакуум, несъответствието изчезва. Това предполага, че вакуумната енергия на Вселената се регулира по естествен начин от нейната тороидална структура - прозрение, което може да промени разбирането ни за тъмната енергия.

Илюстрация на художника-математик Ешер

Последиците се простират отвъд физиката. Те засягат самата същност на знанието. Векове наред ние сме търсили истината в твърди форми, във фиксирани дефиниции. Търсили сме сигурност в абсолютните стойности. Но Вселената не се поддава на твърдост; тя се движи, огъва се, криволичи. Познанието, както и реалността, трябва да бъде променливо и отворено за нова интерпретация.

Оригиналното прозрение на Бекенщайн е фар. Усъвършенстването на Бусо е стъпка към универсалността. Но окончателният характер на ентропията, измерването и пространство-времето не съществува нито в оригиналната, нито в усъвършенстваната формулировка, а в тороидалната симетрия, която е в основата и на двете. Колкото по-надълбоко се вглеждаме, толкова повече виждаме, че Вселената не е статична структура, а динамичен, развиващ се танц - оформен от спирали, криви, вихри, които се простират от микроскопичните до космическите мащаби.

И в това осъзнаване има красота, дълбока любов към елегантността на природата, към тихото съвършенство на една вселена, която дори в най-сложната си комплексност следва непоклатима хармония. Може би физиката винаги се е стремяла към това - не просто към механиката на реалността, а към разкриване на нейната поезия.

Ако може да се извлече някакъв урок от това, то той е, че светът не е хаос, нито сляпа случайност. Съществува ред, който чака да бъде видян. Ред, вписан в начина, по който се въртят галактиките, в начина, по който обикалят електроните, в начина, по който се развива самото време. Това е призив да погледнем по-дълбоко, да приемем една вселена, която не просто съществува, а диша, движи се и се върти. Може би в края на всяко изследване истинската цел на познанието не е да покориш непознатото, а да се възхитиш на неговата структура. Да признаем, че под цялата несигурност има скрит ред, който едва сега започваме да разбираме.

Справка:: Ahmed Farag Ali et al, A covariant tapestry of linear GUP, metric-affine gravity, their Poincaré algebra and entropy bound, Classical and Quantum Gravity (2024). DOI: 10.1088/1361-6382/ad3ac7. On arXiv: arxiv.org/abs/2401.05941.

Източник: Why does nature love spirals? The link to entropy, Ahmed Farag Ali and Aneta Wojnar

 

Източник: nauka.offnews

Facebook коментари

Коментари в сайта

Трябва да сте регистриран потребител за да можете да коментирате. Правилата - тук.
Последни новини