Близо 25 години се смяташе, че знаем как ще свърши Вселената. Сега новите измервания сочат към коренно различно заключение
Ако може да се измери скоростта на разширяване на Вселената днес и как нейната скорост на разширяване се е променяла през нейната история, ще може да се определи и от какво е направена Вселената и следователно каква ще бъде крайната й съдба.
В края на 90-те години, комбинациите от данни от широкомащабни структури, от свръхнови и от космическия микровълнов фон сочеха към една смразяваща картина: доминираната от тъмна енергия Вселена ще се разширява безкрайно и замръзва.
Сега през 2024 г. обаче картината е станала много по-неясна. Напрежението на Хъбъл, заедно с новите резултати от спектроскопския инструмент за тъмна енергия (DESI), поставят нашата добре подреденна картина под съмнение.
Ето защо сега отново се поставя под въпрос съдбата на Вселената.
Откакто за първи път се разбра, че Вселената се разширява, един въпрос досадно се натрапва: как ще свърши всичко?
Днес астрофизиците смятат, че нашата Вселена е започнала от много по-малко, по-плътно, по-горещо и по-еднородно състояние: състояние, което се идентифицира с горещия Голям взрив. С течение на времето тази Вселена се е разширявала, охлаждала и еволюирала, но също така е действала гравитацията, струпвайки и групирайки материята, за да образува сложната космическа мрежеста структура от милиони и дори милиарди светлинни години. Днес, с помощта на мощни инструменти се наблюдава Вселената - наблизо, на междинни разстояния и до най-големите разстояния, които могат да бъдат измерени - така учените научават от какво е изградена Вселената и правят заключения за това каква би била крайната й съдба.
През 60-те години са открити недвусмислени доказателства в подкрепа на горещия Голям взрив. През 70-те и 80-те години на миналия век става ясно, че нашата Вселена също съдържа големи количества тъмна материя: всъщност повече тъмна материя, отколкото нормална материя. И през 90-те години на миналия век се разбра, че Вселената - и нейната скорост на разширяване - са доминирани от тъмна енергия, която се държи като форма на енергия, присъща на самото пространство. Всичко това води до изумителното заключение: че въз основа на това, което знаем за законите на физиката и съдържанието на нашата Вселена, съдбата ѝ ще бъде да се разширява завинаги, като тъмната енергия остава с постоянна енергийна плътност за вечността.
Но сега, с новите най-съвременни данни, бъдещето стана неясно. Ето защо физиците вече не са сигурни за съдбата на Вселената.

Чрез картографиранеto на триизмерните позиции на галактиките в голям обем от Вселената учените в рамките на сътрудничеството DESI откриха доказателства, че силата на тъмната енергия е отслабнала (и отслабва) с течение на времето. Използването на характеристиката на барионните акустични колебания (BAO - baryon acoustic oscillation) може да бъде методът на изследване, който най-накрая нарушава Стандартния модел на космологията. Кредит: C. Lamman/DESI Collaboration
Още през 90-те години на миналия век става доста ясно, че нещо в нашата представа за Вселената не пасва напълно. Според закона на гравитацията, който управлява Вселената – Общата теория на относителността на Айнщайн – ако можем да измерим:
- от какво е направена Вселената,
- плюс колко бързо се разширява Вселената днес,
можем да използваме тази информация, за да екстраполираме всякакви видове информация за самата Вселена. Можем да го използваме, за да разберем възрастта на Вселената и времето, което е изминало от началото на горещия Голям взрив. Можем да определим как плътността на различните видове енергия - нормална материя, тъмна материя, радиация, неутрино, пространствена кривина, както и всичко друго - е еволюирало в космическата история. И ако разберем как се държат тези различни видове енергия, докато Вселената се разширява, можем дори да използваме тази информация, за да предвидим съдбата на Вселената.
В началото на 90-те години на миналия век няколко части от информацията не бяха съвсем подходящи. Ако във Вселената присъстваха само познатата материя и радиация, тя щеше да се разширява със скорост, според която нейната възраст ще е твърде млада: между 9 и 12 милиарда години, а пък има звезди и звездни купове, които са стари около 14-16 милиарда години. Общото количество материя във Вселената - нормална материя, тъмна материя и дори неутрино, взети заедно - добавя само около ~30% от критичната плътност. И тази информация има огромни последици за съдбата на нашата Вселена.

Очакваните варианти на съдбата на ВселенатаОчакваните варианти на съдбата на Вселената (горните три илюстрации) съответстват на Вселена, където материята и енергията се борят срещу първоначалната скорост на разширяване. В нашата наблюдавана Вселена космическото ускорение се причинява от някакъв вид тъмна енергия, която досега е необяснима. Всички тези вселени се управляват от уравненията на Фридман, които свързват разширяването на Вселената с различните видове материя и енергия, присъстващи в нея. Обърнете внимание как във Вселена с тъмна енергия (най-долу) скоростта на разширяване прави труден преход от забавяне към ускоряване преди около 6 милиарда години. Кредит : E. Siegel/Beyond the Galaxy
Във физическата космология има два конкуриращи се фактора, които играят роля в разширяващата се Вселена. От една страна, има първоначалната скорост на разширение: скоростта, с която самото пространство се разширява в началото на горещия Голям взрив, когато Вселената е най-гореща, най-плътна и най-еднородна. Но от друга страна, съществуват ефектите на гравитацията: тенденцията материята и енергията да привличат и изкривяват пространство-времето и да се опитват да „свият“ Вселената отново в някакъв смисъл. Ако нашата Вселена се състои само от материя и радиация и започва с разширяване, тогава има три възможности за евентуалната съдба на Вселената.
- Скоростта на разширяване е твърде голяма, за да може да ѝ се противопоставят гравитацията на материята и радиацията във Вселената, и въпреки че гравитацията може да забави космическото разширение, Вселената продължава да се разширява вечно, което води до сценария на топлинната смърт или Голямото замръзване (Big Freeze).
- Може да се случи обратното: ако има достатъчно материя и радиация, гравитацията може да надделее над първоначалното разширяване. Вселената се разширява, но гравитацията я забавя, в крайна сметка я спира и след това обръща разширяването към свиване. Този сценарий завършва в обратна посока на Големия взрив: Големият срив (Big Crunch) .
- А може да сме в перфектен баланс между двата сценария: случаят „Златокоска“. Още един атом във Вселената би довел до космическо повторно свиване, но при отсъствието на този атом Вселената ще продължава да се движи по инерция, докато скоростта на разширение падне асимптотично до 0. Това е случаят, известен като критична Вселена.

Измерването назад във времето и разстоянието (вляво от „днес“) може да ни информира как Вселената ще се развива и ускорява или забавя далеч в бъдещето. Ако се свърже скоростта на разширяване със съдържанието на материя и енергия във Вселената и се измери скоростта на разширение, може да се направи оценка за времето, изминало от началото на горещия Голям взрив. Данните за свръхновите в края на 90-те години са първият набор от данни, който показва, че живеем в богата на тъмна енергия Вселена, а не в доминирана от материя и радиация. Кредит: Saul Perlmutter/UC Berkeley
Но към края на 90-те години на миналия век са получени няколко важни данни за нашата Вселена, които се оказват изненада за мнозина.
Първо, работата на учени, изучаващи далечни свръхнови, води до революционен набор от измервания: измервания, които очертават връзката между червеното отместване и разстояние на стандартни обекти - тип Ia свръхнови - чиято присъща яркост може да е определи само от измерване на светлината от същите свръхнови.

Свръхнова тип Ia. Изображението показва свръхнова при червено отместване z = 0,40 (съответстващо на разстояние от около 6000 милиона светлинни години), наблюдавана от 3,6-метров телескоп в Чили. Наблюденията на такива далечни свръхнови, които изглеждат много по-тъмни от очакваното въпреки разстоянието им, предоставиха наблюдателни доказателства, че разширяването на нашата Вселена се ускорява – откритие, което вдъхнови повторното въвеждане на космологичната константа. Кредит: CC BY SA 4.0/ESO
Величината, с която светлината се измества към червено, ни казва колко се е разширила Вселената, откакто тази светлина е била излъчена, а по-голямото разстояние до обекта ни позволява да погледнем по-назад във времето.
Комбинирани тези данни дават възможност да се разбере как се е разширявала Вселената и от какво е направена.
Точно по същото време започват да се получават измервания на несъвършенствата в остатъчното сияние от Големия взрив: космическият микровълнов фон или CMB. Тези измервания са особено полезни, защото показват каква е общата кривина на пространството. Ако Вселената е направена само от материя и радиация, тогава:
- положителна кривина би съответствала на Големия срив (Big Crunch),
- отрицателна кривина би съответствала на Голямото замръзване (Big Freeze),
- и кривина 0 би съответствала на критична Вселена, в перфектен баланс между двата сценария.
Тези комбинирани измервания - на данни за свръхнови и на CMB - показа нещо неочаквано: Вселената има кривина 0, но не достатъчно материя и радиация, за да предизвика очаквания сценарий за „критична Вселена“. Вместо това в играта се появява друга съставка: такава, която да увеличи възрастта на Вселената от 9-12 милиарда години до повече от 14 милиарда години (13,8 милиарда, за да бъдем точни).

Вселена, която е затворена (циан) или критична и доминирана от материя (зелено), ще има много кратък живот: 10 милиарда години или по-малко. Тъй като се наблюдава, че звездите са на повече от 13 милиарда години, трябва да присъства някаква друга съставка. Вселената, съставена от ~30% материя и ~70% тъмна енергия (розово), е най-подходяща за данните и дава възраст на Вселената от 13,8 милиарда години. Кредит: Geek3/Wikimedia Commons
Това прозрение, базирано на измервания, довежда до широкото приемане на тъмната енергия: нов вид енергия в нашата Вселена. Трябва да има нещо друго освен материя и радиация, иначе Вселената не би могла да бъде пространствено плоска. Това нещо друго не може да бъде като радиация, нито като материя, нито дори като пространствена кривина, а по-скоро трябва да бъде изцяло различен вид: такъв, който не се противопоставя на продължаващото разширяване, а вместо това допринася за него. В края на краищата данните от свръхновите показват, че далечен обект, ако продължите да го наблюдавате дълги периоди от време, ще изглежда, че се отдалечава от нас с все по-голяма скорост, като червеното му изместване се увеличава с времето.
Разглеждани са и други екзотични форми на енергия преди, които биха могли да дадат същия ефект.
- Ако Вселената бе доминирана от космически струни например далечен обект би се отдалечавал с постоянна скорост.
- Ако Вселената бе доминирана от домейнови стени (домейновата стена е теоретичен обект (дефект) с едно измерение по-малко от пространството, в което е вграден в (дефект в пространството), далечен обект щеше да се отдалечава с нарастваща скорост с течение на времето: съответстващо на ускоряваща се Вселена.
- И ако Вселената бе доминирана от форма на енергия, която е присъща на самото пространство - като космологичната константа на Айнщайн или вакуумната енергия от теориите на квантовите полета - отдалечен обект щеше да се отдалечава все по-бързо и по-бързо с течение на времето: дори по-силно, отколкото в случая на домейнови стени.

Различни компоненти и участници в енергийната плътност на Вселената и кога те могат да доминират. Имайте предвид, че радиацията е доминираща над материята за приблизително първите 9000 години, след това материята доминира и накрая се появява космологична константа. (Другите, като космически струни (cosmic strings) и домейнови стени (domain walls), изглежда не съществуват в значителни количества.) Тъмната енергия обаче може да не е точно космологичната константа, но все пак може да варира с времето с до около ~4%. Бъдещите наблюдения ще ограничат това допълнително. Кредит: E. Siegel/Beyond the Galaxy
Това води до промяна в дългогодишното търсене на космолозите: вместо да определят съдбата на Вселената, сега трябва да определят какво всъщност представлява тази нова форма на енергия - наречена тъмна енергия.
В Общата теория на относителността има връзка между енергийната плътност на всеки вид енергия, ρ, и нейното налягане, p. За материята се счита, че няма налягане, където p = 0. За радиацията налягането е положително и равно на една трета от енергийната плътност: p = +⅓ρ. За да накара отдалечен обект да се отдалечава все по-бързо и по-бързо с течение на времето, налягането трябва да е по-отрицателно от случая на космически струни, където p = -⅓ρ. Това число, което свързва налягането с енергийната плътност за всеки вид, обикновено се нарича w, където p = w ρ, и това означава, че целта за тъмната енергия е определянето на това какво всъщност е нейното w. (За тези, за които не е ясно, w за домейнови стени е -⅔ и w за космологична константа е -1.)
През 2000-те и началото на 2010-те данните от свръхновите се натрупват изключително много, което показва, че w е много близо до -1.
По същото време учените започват да измерват стабилна характеристика, отразена в колебанията в плътността на видимата барионна (нормална) материя на Вселената, причинени от акустичните вълни в плътността в първичната плазма на ранната Вселена. Тези флуктуации са и в тъмната материя и радиацията в ранната Вселена.
Итън Сийгъл ги нарича „изкривяване в галактическите корелации, наречено барионни акустични колебания“ или BAO (baryon acoustic oscillation).
Измерванията на BAO, като разглеждат как се групират галактики във Вселената, позволяват да се измери и как Вселената се разширява с течение на времето и могат да дадат независимо измерване и на w . От комбинираните данни за BAO и за свръхновите изглежда, че w = -1,00, с несигурност от само ± 0,04.

Последните ограничения от анализа на Pantheon+, най-големия набор от данни от този вид, включващ 1550 свръхнови тип Ia, са напълно в съответствие с това, че тъмната енергия не е нищо повече от „ванилова“ космологична константа. „Тази космологична константа е като ванилов сладолед, много е добра, но някак скучна“, заключава Питър Гарнавич, космолог от университета Нотр Дам. „Премахването ѝ ще накара да се срути цялата конструкция, освен ако няма по-добра теория, която да я замени." От тази публикация от 2022 г. няма доказателства в полза на нейната еволюция нито във времето, нито в пространството, но всяко отклонение от w = -1 и w_a или w', би променило напълно предполагаемата съдба на нашата Вселена: нещо, което според данните на BAO се предлага. Кредит : D. Brout et al./Pantheon+, ApJ , 2022 г
Ако тъмната енергия наистина има w = -1, точно тогава тя се държи като космологична константа и съдбата на Вселената е известна:
Тя ще претърпи „Голямото замръзване“ (Big Freeze) и различните обекти, които все още не са били гравитационно свързани, когато тъмната енергия е станала доминиращият фактор в космическото разширение (преди около 6 милиарда години) завинаги ще се отдалечават един от друг. Вселената ще стане студена и празна и в крайна сметка свързани структури като галактики и дори галактически купове не само ще станат изолирани, но до голяма степен ще се разпаднат поради вътрешни гравитационни изхвърляния с течение на времето.
Нашата Вселена ще стане студена и самотна.
Всичко това обаче е вярно само при определен набор от предположения.
Ние приемаме, че:
- уравнението на състоянието на тъмната енергия е точно w = -1,
- и че тъмната енергия не се променя по сила нито в пространството, нито във времето.
При липсата на убедителни данни, които предполагат, че тъмната енергия не е истинска космологична константа, това е разумно предположение.
Но има две доказателства, които в голяма степен предполагат обратното. Първото се появява в края на 2010-те години и се усилва през 2020-те години: наблюдението, че скоростта, с която Вселената се разширява днес – това, което условно наричаме константа на Хъбъл – зависи от това дали за измерването ѝ се използва „древни реликти“ като характеристиките на CMB (космическия микровълнов фон) или BAO, или се използва за измерване метода „скала за разстоянията“ („distance ladder“) като паралакс, цефеиди и свръхнови.

Скалата за разстоянията (distance ladder). Изграждане на галактическата скала:
По тригонометричен паралакс. Паралаксът е ъгълът, получен от проекцията на източник върху небесната сфера.
По звезди от типа Цефеиди и RR Лира. За звездите Цефеиди и RR Лира единната скала на разстоянията се разделя на два клона - скалата на разстоянията за млади обекти и за стари. Цефеидите са разположени главно в райони на скорошно звездообразуване и следователно са млади обекти. Променливите от типа RR Лира са от стари системи, например в кълбовидните звездни купове в ореола на нашата Галактика.
Изграждане на извънгалактична скала: чрез свръхнови тип Ia, чрез гравитационни лещи, чрез червени гиганти, чрез галактики с активни ядра, чрез мазери и др. Кредит: Wikimedia Commons
Много астрономически обекти, използвани за конструирането на скалата за разстоянията, принадлежат към един или друг клас с известна светимост. Такива обекти се наричат стандартни свещи. Чрез измерване на видимата им яркост и познаване на тяхната светимост може да се изчисли разстоянието им въз основа на закона на обратните квадрати.

Законът на обратния квадрат гласи, че стойността на някаква физическа величина в дадена точка в пространството е обратно пропорционална на квадрата на разстоянието от източника на полето, което тази физическа величина характеризира. Кредит: Wikimedia Commons

Голям клас ранни реликтови методи, включващи CMB и/или BAO (със специфичен фокус върху публикациите на DESI), всички те описват Вселената, разширяваща се с ~67 km/s/Mpc. Въпреки че има няколко групи, които имат отличаващи се стойности за измервания по Скалата за разстоянията (включително CCHP групата, показана като предпоследна долу), най-силните измервания, от сътрудничеството на SH0ES и Pantheon+ например, предпочитат стойност от ~ 73 km/s/Mpc. Двата набора от стойности не съвпадат при повече от 5-сигма значимост. Кредит: сътрудничество с DESI, arXiv:2404.03002, 2024 г.
Първият клас методи, всички разчитащи на някаква ранна реликва, всички те дават резултати, които са някъде около 67 километра в секунда на мегапарсек (мегапарсек е около 3 милиона светлинни години), с несигурност от само ± 1 км/сек/Mpc.
Вторият клас методи, разчитащи на обекти, които излъчват светлина в късни моменти и тази светлина след това достига до очите ни, дават отговори, които са по-близо до 73 км/сек/Mpc, отново с несигурност от само ± 1 км/сек/Mpc.
Получените резултати са съвместими между групите, използващи методологията на „ранна реликва“ или „скала на разстоянията“, но непоследователни между двете групи. Това кара мнозина да обмислят екзотични космологии, които могат да съдържат екзотични или дори еволюиращи видове енергия, тъй като те са потенциални кандидат-решения за разрешаване на това така наречено напрежение на Хъбъл.
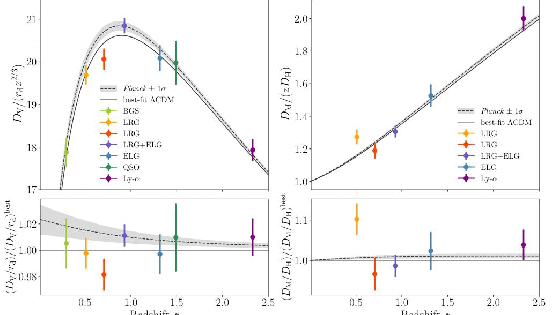
Но още по-скорошно наблюдение дава допълнителна причина да се преразгледа съдбата на Вселената: нови данни, съдържащи спектроскопска информация за повече от шест милиона галактики, току-що публикувани от сътрудничеството Dark Energy Spectroscopic Instrument (DESI) и тази информация ни дава най-силната индикация досега, че тъмната енергия може да се развива с течение на времето.
Тяхната стойност за константата на Хъбъл е в съответствие с други „ранни реликтни“ методи; те откриват Вселена, съставена от само ~30% материя (и около ~70% тъмна енергия), но когато добавят набори от данни за CMB и/или свръхнови, откриват, че в крайна сметка тъмната енергия не изглежда да има постоянна енергийна плътност във времето.

Необработените данни от ключовите публикации на сътрудничеството DESI за 2024 г. са обединени в няколко различни червени премествания и са начертани спрямо очакванията от „ваниловия модел на тъмна енергия“. Особено при междинни червени премествания (между 0,5 и 1,5), тези данни не са в полза на прост, неразвиващ се модел на тъмна енергия и вместо това изглежда предполагат, че може би тъмната енергия се развива (и отслабва) с времето. Кредит: сътрудничество с DESI, arXiv:2404.03002, 2024 г.
Всъщност това, с което техните данни са в най-голямо съответствие, е следният сценарий: тази тъмна енергия е започнала като космологична константа, с w = -1 и не се променя, а след това, преди около 7 милиарда години, бавно и леко е започнала да отслабва.
Може дори да поддържа или благоприятства сценарии, при които w е малко „по-малко отрицателно от -1, като w ~ -0.8, и където то се променя, ставайки дори още по-малко отрицателно с течение на времето.
По-специално, не ултрадалечните галактики са тези, които движат отклонението от очакваната „ванилова версия на тъмната енергия“, където това е просто обикновена стара космологична константа, а галактиките, открити относително наблизо: чиято светлина пристига след пътуване от между 4 милиарда и 8 милиарда години пътуване през космоса.
Сякаш - особено в последно време - барионните акустични колебания (BAO), лесно откриваема характеристика в проучвания на небето на големи участъци, които спектроскопски измерват свойствата на галактиките, не се разтеглят толкова, колкото би се очаквало във Вселена, където тъмната енергия е истинска космологична константа.
Въпреки че наборът от данни на DESI е готов да се утрои в сравнително близко бъдеще и обсерватории като „Евклид“ на ЕКА, „Нанси Роман“ на НАСА и „Вера Рубин“ на Националната научна фондация на САЩ ще служат като ценни независими кръстосани проверки на работата на екипа на DESI, сега сме принудени да преосмисли сериозно дали тъмната енергия е толкова проста и ясна, колкото се очакваше в зората на 21 век.

Ако тъмната енергия не е константа във времетоАко тъмната енергия не е константа във времето, тогава тя не трябва да се описва с един параметър, w, а по-скоро с два или повече параметъра, които позволяват еволюция с времето. На тази фигура пресечната точка на пунктираните линии съответства на проста космологична константа за тъмна енергия; данните от DESI, когато се комбинират с CMB и/или данни от свръхнови, силно подкрепят развиваща се форма на тъмната енергия, която отслабва с времето. Кредит: сътрудничество с DESI, arXiv:2404.03002, 2024 г.
За разлика от всички, учените се радват, когато им се покаже, че това, което са мислели за просто, се оказва по-сложно. Те са доволни, че нашата проста представа за това как работи тъмната енергия - просто космологична константа, присъща на пространството, която никога не се променя с времето - е погрешна и се проваля, че реалността, това, което наблюдаваме, е различно.
Това, което се нарича Стандартен модел на космологията или модел ΛCDM, почти сигурно е само приближение към нашата истинска физическа реалност, макар и приближение, което ни е служило много добре досега.
Ако успеем да намерим наблюдателен тест, при който това приближение вече не е добро, това почти сигурно е следа, която ще ни доведе до по-богато разбиране на нашата Вселена, каквато е в действителност.
Може би в крайна сметка тъмната енергия не е наистина константа.
Може би това е нещо, което се променя и развива с времето.
Ако е така, нашата космическа съдба може драматично да се различава от това, което обикновено предполагаме.
Ако тъмната енергия се засили и стане по-негативна с времето, това може да доведе до „Голямото разкъсване“ (Big Rip), всичко, дори самото пространство-време, постепенно се разкъсва от разширяването на Вселената в определен момент в бъдещето, а разстоянията между частиците се увеличат безкрайно за крайно време.
Ако отслабне тъмната енергия и стане по-положителна, потенциално може да спре ускоряването на Вселената и може дори да съживи възможността да се свием отново и да завършим в Голям срив (Big Crunch).
Какво ще се случи с нашата Вселена в бъдеще?
Благодарение на новите данни от DESI, които още не са анализирани, както и десетките милиони обекти, които ще бъдат добавени в предстоящите каталози, може да се появят по-рано намеци за отговора на този въпрос.
Междувременно е от първостепенно значение астрофизиците да бъдат готови за всякакви изненади, които данните могат да покажат. В крайна сметка Вселената може да се окаже по-странно място, отколкото сме си е представяли досега.
Източници:
Why physicists now question the fate of the Universe, Ethan Siegel, BIG THINK
A new generation takes on the cosmological constant, Physics World