Професорът по математика и статистика в Университета в Стратклайд Адам Клечковски показва и обяснява възможните сценарии в следващото развити е на епидемията от новия коронавирус.
След като новият коронавирус бързо се разпространи през февруари и март 2020 г., много правителства въведоха строги мерки за блокиране. Чрез масивни обществени усилия тези държави постигнаха успех в забавянето на пандемията.
Комбинирайки различни подходи за обществено здраве, страни като Словения и Нова Зеландия премахват вируса в рамките на своите граници. Други страни, включително Великобритания, постигнаха значителен напредък в спирането на разпространението на болестта.
И все пак блокирането доведе до значителни икономически и социални загуби в страните, в които са приложени строги мерки за социално дистанциране. Правителствата, както и обществеността, сега имат желание да започнат да премахват ограниченията и да се върнат към нормалния живот.
С отпускането на правилата за блокиране се чуват предупреждения за възможно възобновяване на случаите на COVID-19 - така наречената втора вълна.
Втората вълна от испанската грипна пандемия през 1918-20 г. беше особено пагубна, както и втората вълна от епидемията на H1N1 през 2009-10 г. И така, какво може да се направи, за да се избегне втора вълна от COVID-19?
За да се разпространи вирусът, той се нуждае от податливи и заразени гостоприемници и успешно предаване. Тези фактори са удобно представени чрез репродуктивното число R - средния брой нови случаи, които причинява един заразен индивид.
Стойност на R над едно означава, че броят на случаите се увеличава, докато под едно те намаляват с времето. Преди да бъдат взети мерките за блокиране, стойността на R за новия коронавирус се оценяваше между две и четири (един заразен заразява още 2-4 души).
Държави като Китай, Южна Корея, Нова Зеландия, Обединеното кралство и повечето европейски страни вече са намалили тази стойност до под едно. В други страни, като Швеция или Русия, стойността на R остава близо до или над единица, което отразява увеличаването на броя на случаите.
Връзката между поведението на населението и стойността на R е сложна, но все пак можем да използваме това понятие, за да илюстрираме как може да се появи втората вълна.

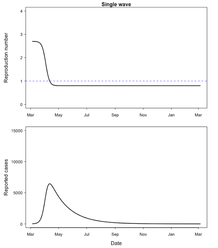
Епидемия от една вълна. Горната графика показва зависимостта от време за възпроизвеждане на модела от време. Долната графика показва прогнозирания брой случаи. Първоначалната стойност на R е 2,7 и пада до 0,8 при блокирането.
Докато в населението има заразени хора, вирусът може да се разпространи. Натрупват се доказателства, че първата вълна на епидемията е довела само до ограничен имунитет, доста под нивата на стадния имунитет.
Има и джобове от популация, в която вирусът не само оцелява, но продължава да се разпространява. Предаването в домове за грижи вече представлява голям процент от случаите в много страни.
След отпускането на мерките, хората започват да си взаимодействат повече. Това може да доведе до повишени стойности на R. Но е критично, дали стойността на R се поддържа под или равна на единица, както е показано на диаграмата по-долу.

По-горе: Епидемия с една вълна с отскок поради релаксация. Първоначалната стойност на R (горна графика) е 2,7 и пада до 0,8 с блокирането, но се връща на 1, тъй като мерките за блокиране са облекчени.
Но дори сравнително скромната промяна на R на 1.2 би довела до голямо избухване, причиняйки втора вълна, което показва колко важно е мерките да бъдат правилни.

Горе: Втора вълна. Първоначалната стойност на R (горна графика) е 2,7 и пада до 0,8 с блокирането, но се връща на 1,2, тъй като мерките за блокиране са облекчени.
Реакцията на втората вълна изисква периодични мерки за блокиране, както е показано по-долу. Но докато обществото досега спазваше забележително ограниченията, умората от блокирането може да затрудни отново налагането на такива строги политики.

По-горе: сценарий, включващ множество огнища и периоди на блокиране. Стойността на R (горна графика) периодично се увеличава до 1,2, тъй като блокирането се отпуска и след това пада отново до 0,8, когато се налага отново.
Епидемията може да продължи през есента и зимата, когато сезонният грип се разпространява. Макар че изглежда, че вирусът на SARS-CoV-2 не е силно зависим от времето, здравната система може да се натовари, ако COVID-19 и грипът ударят едновременно.
Превантивните мерки, насочени към вируса на SARS-CoV-2 (като маски и миене на ръцете), могат да намалят разпространението на грипния вирус.
И накрая, вирусът може да мутира до по-инфекциозен щам. Подобна мутация може да е станала причина втората вълна от испански грип да е била толкова тежка.
Ако нещо подобно се случи с вируса на SARS-CoV-2, получената епидемия ще надхвърли сегашната, дори ако новата стойност на R е само четири. За сравнение R e 10-12 за паротит или 12-18 за морбили. Широкото разпространение на заушката и морбили се ограничава само с масова ваксинация.

Горе: Голяма есенна вълна. Стойността на R (горната графика) се увеличава до 4 за кратък период през ноември. Обърнете внимание на променения брой случаи в сравнение с другите графики.
В близко бъдеще правителствата ще трябва деликатно да балансират нуждите на икономиката и социалния живот, като потискат разпространението на вируса. Тестването, проследяването и изолирането на случаите и локалните мерки са ключови елементи на стратегията.
Епидемиологичните модели и концепции като R могат да помогнат в установяването къде, как, кога и за колко време властите трябва да се намесят, за да се предотврати втора вълна.
Адам Клечковски, професор по математика и статистика, Университета в Стратклайд. Повече информация за неговите изчисления тук.
Тази статия е публикувана в The Conversation под лиценз Creative Commons.